|| Algebraic Fractions ||

Multiplication and Division

Exercises

For each question click the box corresponding to your answer, and then click on the 'submit answer' button.

1- Evaluate X
     


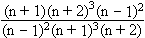
2- Evaluate
     


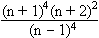
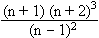
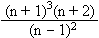
3- Evaluate X
     


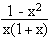
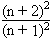
4- Evaluate
     


5- Evaluate ( - 1 ) ( + 1 )
          


|| Algebraic Fractions ||