|| Algebraic Fractions || Next ||
Addition and SubtractionAddition and subtraction of algebraic fractions are performed the same way as addition and subtraction of numeric fractions (lesson 2).
To add or subtract two or more algebraic fractions, we carry out the same two steps that we did with numeric fractions. Step one: rewrite each fraction to an equivalent fraction, making sure that both of the equivalent fractions have a common denominator. Step two: add the numerators of the two fractions that share the same denominator. If after these two steps the numerator and denominator have common factors you should simplify the result by cancelling those common factors. This process is illustrated in the two examples below.
Note: You can always do a quick check of your answer in these problems by replacing all letters by numbers, avoiding 1 and 0. If the resulting numeric solution is not correct, then the algebraic one was also not correct.
Example:
Evaluate
+
![]()
To perform this addition, we begin by thinking of a common denominator. In this case we note that n x q = nq = qn = q x n and so we rewrite each fraction with nq as the common denominator. Then, as our second step, we add the numerators. Finally, we look to see if the numerator and denominator have any common factors that can be cancelled to simplify the fraction.
Note to student: Although it is not required, textbooks also tend to rewrite products of letters in alphabetic order. Thus, qn would be rewritten as the equivalent nq and pn would be rewritten as np. This is only important if you want your answer to look exactly like the answer typically supplied by a textbook.
Thus:
![]()
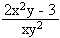
Example 2
Evaluate
-
![]()
In this example, the smallest common denominator will be xy2.
Thus
-
=
-
=
![]()
Before proceeding to the exercises, ensure that you have some paper and a pencil handy.
|| Algebraic Fractions || Next ||