|| Algebraic Fractions ||

Addition and Subtraction

Exercises

For each question click the box corresponding to your answer, and then click on the 'submit answer' button.

1- Evaluate + - 3
     


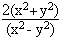
2- Evaluate -
     


3- Evaluate +
(x - y)(x + y)
     


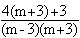
4- Evaluate +
     


5- Evaluate + +
          


|| Algebraic Fractions ||