Cumulative Test, Lessons 1 to 5

Lesson 1   Set Theoretic Operations
Lesson 2   Numeric Fractions (addition and subtraction)
Lesson 3   Numeric Fractions (multiplication and division)
Lesson 4   Algebraic Fractions (addition and subtraction)
Lesson 5   Algebraic Fractions (multiplication and division)

This first cumulative test is a summative assessment that will measure the extent to which you have understood the notions presented in Lessons 1 to 5.

Before proceeding to the questions, ensure you have some paper and a pencil at hand.

You may now begin to answer the questions, or you may want to review one or more of the lessons mentioned above.

For each question click the box corresponding to your answer, and then click on the 'submit answer' button.

1- If A = { x | 3 x < 5 } and B = { x | 4 < x 7 }
calculate A B

{ x | 4 < x < 5 }

{ x | 3 < x < 7 }

{ x | 3 x 7 }


2- If A = { x | 3 x < 5 } and B = { x | 4 < x 7 }
calculate A B

{ x | 4 < x < 5 }

{ x | 4 x 5 }

{ x | 3 x 7 }


3- Evaluate + -
     


4- Evaluate 6
8
     


5- Evaluate X
     


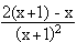
6- Evaluate ( - )
     


7- Evaluate - +
     


8- Evaluate -
     


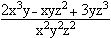
9- Evaluate -
     


10- Evaluate -
0
     


11- Evaluate - +
Neither of these answers
     


12- Evaluate X X
     


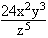
13- Evaluate
     


14- Evaluate X
Neither of these answers
     


15- Evaluate ( 1 - ) ( 1 + )
1 - ( )2